近日,由公司教师李磊指导的2019级数理基地班(物理学)本科生胡皓然,在非马尔科夫和Landauer原理的研究方面取得进展,将熵探测非马尔科夫方法和热化过程中信息的擦除问题相结合,揭示非马尔科夫动力学的信息回流和Landauer原理有效性之间的关系。相关成果以“Relation between non-Markovianity and Landauerʼs principle”为题发表在《Physical Review A》上。

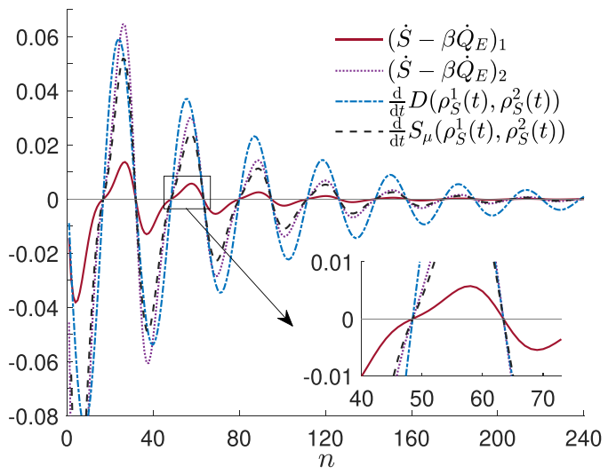
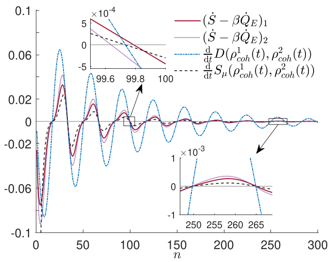
近年来,非马尔科夫开放系统动力学受到了人们的广泛关注,人们认识到非马尔科夫性在非平衡量子系统中发挥的重要作用。尤其是不可逆过程中的非马尔科夫效应,其中最具代表性的是Landauer原理与信息处理的关系。本项工作结合Telescopic relative entropy探测非马尔科夫方法[N. Megier, Phys. Rev. Lett. 127, 030401 (2021)],研究非马尔科夫动力学的信息回流和Landauer原理有效性之间的关系。通过考虑一类能量守恒的系统环境相互作用,证明量子热化过程中信息回流和Landauer原理的违反存在一一对应关系,系统的量子相干会破坏他们之间的这种对应关系。在此基础上揭示了此不可逆过程中非马尔科夫的物理机制,并对上述理论结果给出了数值验证。
 |

|
图1:系统处于热对角态下Landauer原理和非马尔科夫的关系 |
图2:系统有相干的情况下Landauer原理和非马尔科夫的关系。 |
论文第一作者为本科生胡皓然,通讯作者为李磊博士,合作者为北京理工大学物理公司邹健教授和中国科公司物理研究所刘伍明教授。该研究工作得到了国家自然科学基金委和国家重点研发计划的资助。
论文链接:https://doi.org/10.1103/PhysRevA.105.062429